Hello Dear Readers, At Applied Materials Bangalore, there is a vacancy for a Physical Design/PDK methodology Engineer role. Applied Materials is a global leader in materials engineering solutions used to produce virtually every new chip and advanced display in the world. We design, build and service cutting-edge equipment that helps our customers manufacture display and semiconductor chips – the brains of devices we use every day. As the foundation of the global electronics industry, Applied enables the exciting technologies that literally connect our world – like AI and IoT. If you want to push the boundaries of materials science and engineering to create next generation technology, join us to deliver material innovation that changes the world. Key Responsibility: Expertise in PDK enablement and library validation/automation. Hands-on experience with LVS/Parasitic extraction/standard cell characterization flows and methodologies Design/System level experience with DTCO and ...
Hello Dear Readers,
Today I have designed this page for doing exercises regarding STA-related Questions.
Q-1:
The circuit in Fig. 1. is the internal layout of a custom-built chip. The tpd for each gate is listed below it. The delays for the register are all the same and listed in the lower right corner. What is the Maximum Clock Frequency of the below gate-level netlist?
![]() |
| Fig. 1 |
Q-2:
Here I will upload more as I will come across any good questions. Thanks for reading
Connect with me
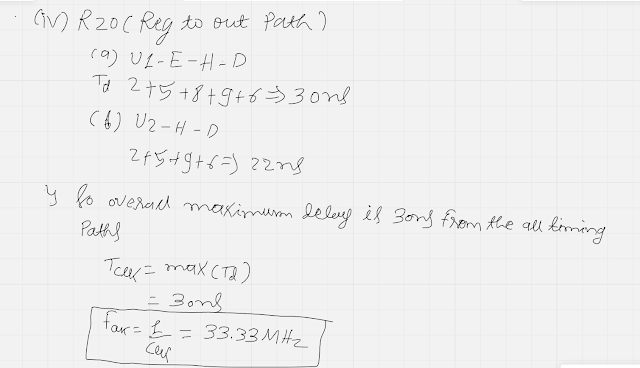
For each of the following circuits:
(i). Calculate the worst-case pin-to-pin combinational delay, clock-to-output delay, and register-to-register delay.
(ii). Use this data to find the maximum clock frequency.
(iii). Calculate tsu and thd for the external inputs.
Q-3: Are Setup and Hold times of the flip-flop is intrinsic parameters or design parameters.
Q-4: Setup and Hold times of the flip-flop are controllable or not, explain your answer.






Incredible your posts but if you will provide answer then it will be helpful. Please keep it up
ReplyDeletenow uploaded
Deletewhere ?
DeleteYes bro please upload answer also will be more beneficial for us. I hope you will consider it and work on it. Best wishes.
ReplyDeleteyes, uploaded now
Deletethanks bro long waiting keeps it up
DeleteAmazing posts you are always come with more excitements hope you will also coming with answers.
ReplyDeleteQuestions are so much good level but please provide solution also will be helpful to us.
ReplyDelete